Sidoarjo.siap-Ppdb.com

2021-07-21

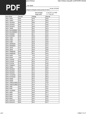
Pendaftaran Ppdb Kabupaten Sidoarjo 2021 2022 Pendaftaran Mahasiswa Baru 2021 2022 2 Link Pengumuman Ppdb Bali Tahap 3 Sma Smk Sabtu 3 Juni 2021 Cek Bali Siap Ppdb Com Jalur Nilai Raport Seputar Lampung Sidoarjo Siap Laksanakan Ppdb Sma Smk Slb Negeri Secara Online Harian Bhirawa Online 1404304216wpdm Panduan Pendaftaran Ppdb Online Kab Banyuwangi Cek Situs Jateng Siap Ppdb Com Untuk Lihat Hasil Ppdb Sma Smk Jateng Peserta Wajib Daftar Ulang Tribunnews Com Mobile Info Pendaftaran Ppdb Smp Bantul 2021 Di Bantulkab Siap Ppdb Com Klik Https Sultra Siap Ppdb Com Cara Mudah Daftar Sma Smk Sulawesi Tenggara Semua Jalur Tribunpontianak Co Id Jadwal Pelaksanaan Ppdb Smp Jalur Reguler Kabupaten Sidoarjo Pendaftaran Ppdb Kabupaten Sidoarjo 2021 2022 Pendaftaran Pmb 2021 2022 Operator Sekolah Osis Smpn 3 Waru Jadwal Ppdb Sidoarjo Tp 2016 2017 Smp Negeri Sma Negeri Smk Negeri Info Lebih Lanjut Di Www Ppdb Sidoarjo Net Facebook Ppdb Smp Kabupaten Sidoarjo Syarat Jadwal Pendaftaran Online Access Sidoarjo Siap Ppdb Com Kabupaten Sidoarjo Siap Ppdb Online Pendaftaran Online Ppdb Smp Jalur Reguler Kabupaten Sidoarjo Pdf Mekanisme Pendaftaran Ppdb 2019 2020 Kabupaten Malang Bisa Diakses Di Malangkab Siap Ppdb Com Suryamalang Com Inilah Link Ppdb Balikpapan Sma Smk 2021 Cabdinbalikpapan Siap Ppdb Com Cek Aturan Penambahan Nilai Tribunkaltim Co Pendaftaran Online Ppdb Smp Jalur Reguler Kabupaten Sidoarjo Pdf Situs Ppdbjatim Net 2018 Jadwal Pelaksanaan Jawa Timur Penerimaan Peserta Didik Baru Wartasolo Com Berita Dan Informasi Terkini Diklaim Sudah Jalan Ppdb Online Sidoarjo Masih Bermasalah Suara Surabaya Cara Pendaftaran Online Ppdb Kab Sidoarjo 2021 2022 Pendaftaran Net 2021 2022 Pendaftaran Online Ppdb Kab Sidoarjo 2021 2022 Idezia Ppdb Jatim 2018 2019 Website Ppdbjatim Net Dan Siap Ppdb Com Jatim Gingsul Com Link Cara Pendaftaran Ppdb Sidoarjo Sma Smk 2021 Mamikos Info Tata Cara Pendaftaran Online Ppdb Smp Kabupaten Kudus 2021 Melalui Link Kudus Siap Ppdb Com Portal Kudus Kuota Smk Telkom Sidoarjo Sisa 20 Siap Tutup Ppdb Lebih Awal Smk Telkom Sidoarjo Info Pendaftaran Ppdb Smp Bantul 2021 Di Bantulkab Siap Ppdb Com 2 Pengumuman Hasil Ppdb Smp Pontianak Disampaikan Online Di Pontianak Siap Ppdb Com Tribunpontianak Co Id Cara Daftar Ppdb Sd Online 2020 Akses Siap Ppdb Com Dan Unggah Dokumen Persyaratan Tribunnews Com Mobile Pendaftaran Siap Ppdb Online 2021 2022 Pendaftaran Pmb 2021 2022 Pendaftaran Ppdb 2017 Sidoarjo Kediri Siap Ppdb Com Pdf Free Download Hari Terakhir Daftar Ulang Ppdb Riau 2020 Akses Riau Siap Ppdb Com Simak Syaratnya Di Sini Tribunnews Com Mobile Tata Cara Pendaftaran Siap Ppdb Online 2017 Mitazaedu Pendaftaran Ppdb Sma Smk 2019 2020 Kabupaten Sidoarjo Jadwal Informasi Pendidikan Sd Smp Dan Sma K Siap Ppdb Online Prov Jawa Tengah Kabupaten Sidoarjo Siap Ppdb Online Smk N 1 Buduran S Web Blog Pengumuman Hasil Seleksi Ppdb Sd Smp Online Kota Kediri Jatim Tipssehatcantik Com Data Statistik Ppdb Smp Jalur Reguler Kabupaten Sidoarjo Pdf Alur Pelaksanaan Ppdb Sd Jalur Reguler Kabupaten Sidoarjo Operator Sekolah Link Karimun Siap Ppdb Com Saat Ppdb Karimun 2020 Untuk Siswa Smp Cek Jadwal Dan Alurnya Tribunbatam Id Informasi Dan Hasil Pengumuman Ppdb Sidoarjo 2016 Terbaru Simomot Pengumuman Hasil Seleksi Ppdb Online Smp Gresik Jatim Tipssehatcantik Com Link Pengumuman Ppdb 2021 Kalimantan Selatan Kalsel Sma Smk Kalsel Siap Ppdb Com Hasil Seleksi Jalur Zonasi Metro Lampung News Ppdb Provinsi Sulawesi Selatan 2021 2022 Pendaftaran Mahasiswa Baru 2021 2022 Bagaimana Cara Melihat Pengumuman Hasil Seleksi Ppdb Online 2021 Mekanisme Pendaftaran Ppdb 2019 2020 Kabupaten Malang Bisa Diakses Di Malangkab Siap Ppdb Com Suryamalang Com
Mekanisme Pendaftaran Ppdb 2019 2020 Kabupaten Malang Bisa Diakses Di Malangkab Siap Ppdb Com Suryamalang Com Situs Ppdbjatim Net 2018 Jadwal Pelaksanaan Jawa Timur Penerimaan Peserta Didik Baru Wartasolo Com Berita Dan Informasi Terkini Cara Pendaftaran Siap Ppdb Online 2021 2022 Pendaftaran Online 2021 2022 Informasi Dan Hasil Pengumuman Ppdb Sidoarjo 2016 Terbaru Simomot Kuota Smk Telkom Sidoarjo Sisa 20 Siap Tutup Ppdb Lebih Awal Smk Telkom Sidoarjo Access Sidoarjo Siap Ppdb Com Kabupaten Sidoarjo Siap Ppdb Online Pendaftaran Smp Jalur Zonasi Sidoarjo Nusagates Portal Arsip Siap Ppdb Online Jadwal Pelaksanaan Ppdb Sidoarjo 2016 Smk N 1 Buduran S Web Blog Sidoarjo Siap Laksanakan Ppdb Sma Smk Slb Negeri Secara Online Harian Bhirawa Online Alur Pelaksanaan Ppdb Sma Jalur Reguler Kota Depok Inilah Link Ppdb Balikpapan Sma Smk 2021 Cabdinbalikpapan Siap Ppdb Com Cek Aturan Penambahan Nilai Tribunkaltim Co Data Statistik Ppdb Smp Jalur Reguler Kabupaten Sidoarjo Pdf Link Karimun Siap Ppdb Com Saat Ppdb Karimun 2020 Untuk Siswa Smp Cek Jadwal Dan Alurnya Tribunbatam Id Pendaftaran Smp Jalur Zonasi Sidoarjo Nusagates Hari Terakhir Daftar Ulang Ppdb Riau 2020 Akses Riau Siap Ppdb Com Simak Syaratnya Di Sini Tribunnews Com Mobile Update Hasil Seleksi Ppdb Sma Smk Jateng 2020 Dapat Dipantau Melalui Jateng Siap Ppdb Com Tribunnews Com Mobile Ppdb Jatim 2018 2019 Website Ppdbjatim Net Dan Siap Ppdb Com Jatim Gingsul Com Pendaftaran Ppdb 2017 Sidoarjo Kuota Smk Telkom Sidoarjo Sisa 20 Siap Tutup Ppdb Lebih Awal Smk Telkom Sidoarjo Cek Hasil Seleksi Ppdb Sma Smk Jateng 2020 Di Jateng Siap Ppdb Com Diumumkan Selasa 30 Juni 2020 Halaman 2 Tribunnews Com Mobile Selamat Datang Di Situs Ppdb Kabupaten Sidoarjo Pendaftaran Ppdb 2017 Sidoarjo Pendaftaran Ppdb Online Smp Kab Sidoarjo 2020 Akses Laman Siap Ppdb Com Untuk Daftar Ppdb Smp Online 2020 Begini Alur Pelaksanaannya Tribunnews Com Mobile Link Pengumuman Ppdb Kepri 2021 Sma Smk Di Kepri Siap Ppdb Com Hasil Jalur Zonasi Prestasi Afirmasi Domisili Metro Lampung News Pengumuman Ppdb Smp Sidoarjo 16 Juni 2021 Dan Jadwal Daftar Ulang Pengumuman Hasil Ppdb Smp Pontianak Disampaikan Online Di Pontianak Siap Ppdb Com Tribunpontianak Co Id Siap Ppdb Online Prov Jawa Tengah Link Pengumuman Ppdb Denpasar 2021 Smp Hari Ini Klik Denpasar Siap Ppdb Com Hasil Seleksi Jalur Zonasi Afirmas Metro Lampung News Osis Smpn 3 Waru Jadwal Ppdb Sidoarjo Tp 2016 2017 Smp Negeri Sma Negeri Smk Negeri Info Lebih Lanjut Di Www Ppdb Sidoarjo Net Facebook 38 Link Pendaftaran Ppdb Online Jatim Tiap Kota Kabupaten Mamikos Info Pendaftaran Ppdb Kabupaten Sidoarjo 2021 2022 Pendaftaran Mahasiswa Baru 2021 2022 Link Cara Pendaftaran Ppdb Sidoarjo Sma Smk 2021 Mamikos Info Kabupaten Sidoarjo Siap Ppdb Online Link Pengumuman Ppdb Denpasar 2021 Smp Hari Ini Klik Denpasar Siap Ppdb Com Hasil Seleksi Jalur Zonasi Afirmas Metro Lampung News Informasi Dan Hasil Pengumuman Ppdb Sidoarjo 2016 Terbaru Simomot Siap Ppdb Online Prov Jawa Tengah Bagaimana Cara Melihat Pengumuman Hasil Seleksi Ppdb Online 2021 2 Mekanisme Pendaftaran Ppdb 2019 2020 Kabupaten Malang Bisa Diakses Di Malangkab Siap Ppdb Com Suryamalang Com Cara Daftar Ppdb Sd Online 2020 Akses Siap Ppdb Com Dan Unggah Dokumen Persyaratan Tribunnews Com Mobile Klik Depok Siap Ppdb Com Cek Pengumuman Ppdb Smp Depok Dan Lihat Hasil Seleksi Namamu Lolos Tidak Seputar Lampung Link Pengumuman Ppdb Bali Tahap 3 Sma Smk Sabtu 3 Juni 2021 Cek Bali Siap Ppdb Com Jalur Nilai Raport Seputar Lampung Tata Cara Pendaftaran Siap Ppdb Online 2017 Mitazaedu Ini Pengumuman Ppdb Kalimantan Selatan Kalsel Sma Smk 2 Juli 2021 Cek Hasil Seleksi Kalsel Siap Ppdb Com Seputar Lampung Pengumuman Hasil Seleksi Ppdb Online Smp Kab Situbondo Jatim Tipssehatcantik Com Operator Sekolah Akses Laman Siap Ppdb Com Untuk Daftar Ppdb Smp Online 2020 Begini Alur Pelaksanaannya Tribunnews Com Mobile
Uncategorized

Siapa Pembunuh Mirna Sebenarnya

Sinopsis My Fair Lady