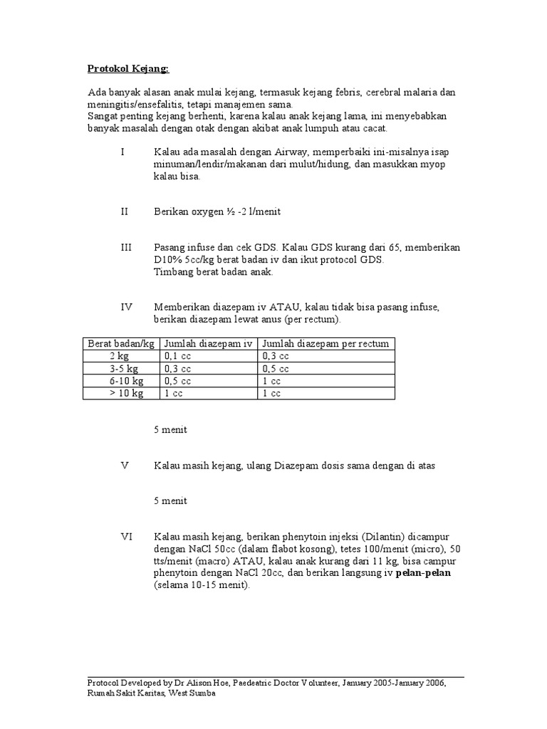
Dosis Diazepam Anak

2021-10-25

Perhitungan Youtube Diazepam Dosis Efek Samping Interaksi Dll Hello Sehat Windy Amelia Tugas Praktikum Farmakologi Docx Tugas Individual Praktikum Farmakologi 1 Diketahui Dosis Diazepam Pada Manusia 30mg 60 Kgbb Sediaan Course Hero Obat Stesolid Dosis Pemakaian Efek Samping Klikdokter Com Apa Yang Dimaksud Dengan Kejang Demam Atau Febrile Convulsions Ilmu Kedokteran Dictio Community Top Pdf Laporan Kasus Kejang Demam Pada Anak 123dok Com Referat Kejang Demam Doc Pdf Txt Casanovaambientes Com Br Aneka Obat Tradisional Untuk Anak Eprints Uad Perhitungan Dosis Docx Document Protokol Kejang Pada Anak Kejang Pada Neonatus Dr Alifiani Hikmah Putranti Spak Ppt Download Kejang Demam Pdf Mula Mula Berikan Diazepam 0 1 0 2 Mg Kg Dosis Lazim Anak 5 Tahun Dan Dewasa Adalah 2 10 Mg Untuk Anak 30 Hari Hingga 5 Tahun Adalah 1 2 Mg Pdf Download Gratis Diazepam Definisi Kandungan Kontraindikasi Dan Alur Kejang Demam Yudi Siswanto Pdf Dosis 1 Benzodiazepin Diazepam Valium Lembrol Diazepam Tab Tab 2 5 Mg Peroral Course Hero Tatalaksana Kejang Demam Pdf 89701946 Diazepam 1 1 2 1 1 1 Tambahan Farmako Pdf Stesolid 10 Mg Rec Tube 2 5 Ml Apotek Online Mataram Medika Dosis Diazepam Untuk Bayi Kejang Diazepam Kegunaan Dosis Efek Samping Aladokter Penanganan Kejang Pada Anak Stesolid 10 Mg Rec Tube 2 5 Ml Apotek Online Mataram Medika Penatalaksanaan Kejang Demam Konsensus Idai Kejang Demam Pdf Diazepam Rektal Penatalaksanaan Kejang Demam Konsensus Idai Diazepam Pdf Rumus Tetesan Infus Top Pdf Referat Kejang Demam Kompleks 123dok Com Diazepam Dosis Efek Samping Interaksi Dll Hello Sehat Perhitungan Dosis Docx Document Penanganan Kejang Anak Pdf Tatalaksana Kejang Pdf Edoc Tips Diazepam Smarter Health Diazepam Definisi Kandungan Kontraindikasi Dan Sop Kejang Demam Pada Anak Pdf Diazepam Algoritma Penatalaksanaan Kejang Demam Pdf 2 Obat Emergency Protokol Kejang Demam Pada Anak Pdf Doc Sop Kejang Demam Erwin Nasution Academia Edu Algoritma Penanganan Kejang Demam Pdf Ternyata Kejang Demam Pada Anak Bisa Dicegah Begini Caranya Semua Halaman Nakita Referat Kejang Demam Doc Pdf Txt Perhitungan Dosis Pdf
Penanganan Kejang Pada Anak Diazepam Kejang Demam Pada Anak Tatalaksana Kejang Demam Pada Anak Obat Vellepsy Dosis Pemakaian Efek Samping Klikdokter Com Mula Mula Berikan Diazepam 0 1 0 2 Mg Kg Dosis Lazim Anak 5 Tahun Dan Dewasa Adalah 2 10 Mg Untuk Anak 30 Hari Hingga 5 Tahun Adalah 1 2 Mg Pdf Download Gratis Dosis Pemberian Diazepam Pada Anak Kejang Obat Stesolid Dosis Pemakaian Efek Samping Klikdokter Com Fenitoin Diazepam Kegunaan Dosis Efek Samping Aladokter Penatalaksanaan Kejang Demam Konsensus Idai Danalgin Kegunaan Dosis Efek Samping Aladokter Danalgin Kegunaan Dosis Efek Samping Aladokter Diazepam Algoritma Penatalaksanaan Kejang Demam Pdf Penatalaksanaan Kejang Demam Konsensus Idai Protokol Kejang Demam Pada Anak Doc Document 2 Interaksi Obat Apa Yang Anda Ketahui Tentang Status Epileptikus Pada Anak Ilmu Kedokteran Dictio Community Kejang Pada Neonatus Dr Alifiani Hikmah Putranti Spak Ppt Download Penatalaksanaan Kejang Demam Konsensus Idai Penatalaksanaan Kejang Demam Konsensus Idai Apa Yang Anda Ketahui Tentang Status Epileptikus Pada Anak Ilmu Kedokteran Dictio Community Penanganan Tata Laksana Kejang Akut Kejang Demam Contekan Kesehatan Anak Tata Laksana Kejang Demam Pada Anak Penatalaksanaan Kejang Demam Konsensus Idai Diazepam Algoritma Penatalaksanaan Kejang Demam Pdf R No 2 4 6 8 10 Perhitungan Dosis Anak Berdasarkan Usia Perhitungan Dosis Ctm Dan Diazepam Youtube Penatalaksanaan Kejang Demam Sederhana Pdf Casanovaambientes Com Br Diazepam Pdf Pdf Perbandingan Efektivitas Pengobatan Lorazepam Bukal Dengan Diazepam Rektal Dalam Tata Laksana Awal Kejang Pada Anak Informasi Harga Diazepam November 2021 Pdf Perbandingan Efektivitas Pengobatan Lorazepam Bukal Dengan Diazepam Rektal Dalam Tata Laksana Awal Kejang Pada Anak 2 Diazepam Dosis Efek Samping Interaksi Dll Hello Sehat Kejang Demam Pdf Penanganan Kejang Demam Pdf Dosis Diazepam Untuk Bayi Kejang Alur Kejang Demam Yudi Siswanto Pdf Perhitungan Dosis Pdf Tatalaksana Kejang Pdf Penatalaksanaan Kejang Demam Sederhana Pdf Shieijyutaku Mihara Jp Dosis Diazepam Intravena Dewasa Diazepam Dosis Efek Samping Interaksi Dll Hello Sehat Algoritma Penatalaksanaan Kejang Demam Pdf Algoritma Tatalaksana Penyakit Kejang Demam Pada Anak Bayi Informasi Kedokteran Kesehatan Info Klinis Bpjs Kode Icd 10 Dan Diskusi Kesehatan Mula Mula Berikan Diazepam 0 1 0 2 Mg Kg Dosis Lazim Anak 5 Tahun Dan Dewasa Adalah 2 10 Mg Untuk Anak 30 Hari Hingga 5 Tahun Adalah 1 2 Mg Pdf Download Gratis
Info

Dollars To Rupiah

Download Bot Pokemon Go Terbaru