Daftar Nama Siswa Penerima Bsm 2021

2021-08-14

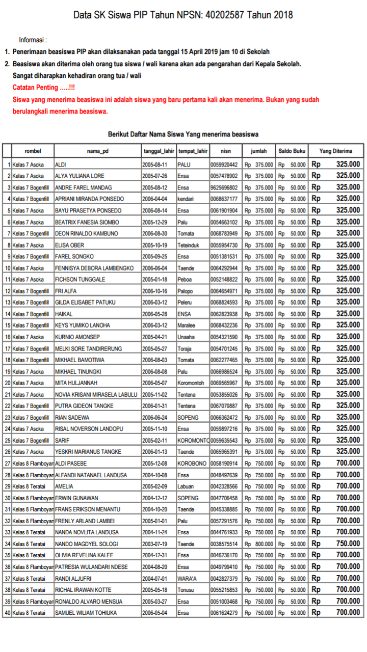
Cara Daftar Pip Sd Smp Dan Sma Online 2021 Yusuf Studi Surat Keterangan Pencairan Pip Cek Daftar Nama Siswa Penerima Pip 2021 Jenjang Sd Smp Sma Smk Tahap 7 Sudah Cair Hingga 1 Juta Rupiah Guru Baik Begini Daftar Bantuan Pelajar Dana Pip 2021 Bisa Dapat Sampai Rp 1 Juta Semua Halaman Grid Fame Bantuan Siswa Miskin Seksi Pendidikan Madrasah Laman 2 Cara Mengetahui Data Penerima Dan Nama Bank Penyalur Pip Tahun 2018 Tahun 2019 Dan Tahun 2020 Di Https Pip Kemdikbud Go Id Salam Edukasi Daftar Siswa Calon Penerima Beasiswa Bsm Kjp 2017 Tahap 1 Sma Negeri 59 Jakarta Inilah Daftar Nama Siswa Sd Sma Penerima Pip Kemendikbud 2021 Cek Di Link Ini Dan Cairkan Di 2 Bank Bumn Ini Seputar Lampung Cara Cek Penerima Pip Atau Kip Sd Sma Cek Syarat Daftar Pip 2021 Targetkan 17 9 Juta Siswa Kalbar Satu Id Nasional Anak Ditetapkan Sebagai Penerima Bsm Pip 2021 Sekdes Sepang Tolak Dengan Penuh Kesadaran Website Desa Sepang Cara Cek Daftar Nama Siswa Penerima Pip Sd Smp Dan Sma Melalui Pip Kemdikbud Go Id Android31 Download Contoh Format Laporan Pencairan Kolektif Dana Bsm Pip Tahun 2015 Dadang Jsn Format Usulan Siswa Calon Penerima Bantuan Siswa Miskin Pdf Login Di Pip Kemdikbud Go Id Simak Cara Cek Penerima Dana Pip 2021 Untuk Siswa Sd Smp Sma Tribunstyle Com Cara Cek Daftar Nama Siswa Penerima Pip Sd Smp Sma Smk Tahun 2020 2021 Pendidikan Kewarganegaraan Pendidikan Kewarganegaraan Bantuan Siswa Miskin Bsm Ppt Download Cara Cek Penerima Dana Pip 2021 Mencairkannya Mudah Woke Id Edaran Pengambilan Beasiswa Bsm 2021 Pdf Daftar Nama Penerima Beasiswa Smp Negeri 4 Tanjung Redeb Facebook Cara Melihat Dan Cek Daftar Nama Penerima Bantuan Pip Sd Tahun 2021 Kherysuryawan Id Cara Download Siswa Penerima Bantuan Dari Program Indonesia Pintar Pip Youtube Cara Cek Dan Melihat Daftar Nama Penerima Pip Smp Tahun 2021 Kherysuryawan Id Cek Penerima Dana Program Indonesia Pintar Pip Untuk Sd Mi Smp Mts Sma Dan Smk Login Disini Cerdik Indonesia Halaman 2 Dejarfa Com Daftar Kolektif Penerima Pip Cara Cek Nama Penerima Bantuan Pip Untuk Siswa Sd Smp Sma Begini Caranya Siswa Sd Sma Bisa Dapat Bantuan Pendidikan Dari Pemerintah Cek Syarat Membuat Kartu Indonesia Pintar Fokus Satu Cek Daftar Nama Siswa Penerima Pip 2021 Jenjang Sd Smp Sma Smk Tahap 7 Sudah Cair Hingga 1 Juta Rupiah Guru Baik Cara Cek Nama Siswa Penerima Dana Bantuan Pip Kemdikbud Arnaim Com Cara Cek Nama Siswa Penerima Dana Bantuan Pip Kemdikbud Arnaim Com Cek Daftar Nama Siswa Penerima Pip 2021 Jenjang Sd Smp Sma Smk Tahap 7 Sudah Cair Hingga 1 Juta Rupiah Guru Baik Inilah Daftar Penerima Beasiswa Pip Smp Kristen Gkst Ensa Untuk Sk Tahun 2018 Smp Kristen Gkst Ensa Cara Cek Siswa Penerima Kartu Indonesia Pintar Untuk Sd Sma Halaman All Kompas Com Cek Penerima Dan Cara Mencairkan Dana Program Indonesia Pintar Pip 2021 Via Pip Kemdikbud Go Id Tribunnews Com Mobile Daftar Nama Peserta Bsm Pip Kip Tahap 1 Sd 14 Tahun 2019 Lengkap Seluruh Indonesia Dunia Edukasi Buruan Login Di Pip Kemdikbud Go Id Untuk Dapat Bantuan Pip Untuk Siswa Sd Smp Dan Sma Jurnalnews Dapodikonline Com Panduan Aplikasi Pendidikan Untuk Guru Operator Sekolah Dan Tenaga Kependidikan Siswa Sd Sma Bisa Dapat Bantuan Pendidikan Dari Pemerintah Cek Syarat Membuat Kartu Indonesia Pintar Fokus Satu Cara Cek Penerima Dana Pip 2021 Mencairkannya Mudah Woke Id Cara Cek Dan Melihat Daftar Nama Penerima Pip Smp Tahun 2021 Kherysuryawan Id Sipintar Enterprise Bsm Pip Cek Siswa Penerima Pip Tahap Terbaru 2020 Youtube Dapodikonline Com Panduan Aplikasi Pendidikan Untuk Guru Operator Sekolah Dan Tenaga Kependidikan Bantuan Siswa Miskin Bsm Ppt Download Cara Cek Daftar Nama Siswa Penerima Pip Sd Smp Sma Smk Tahun 2020 2021 Pendidikan Kewarganegaraan Pendidikan Kewarganegaraan Daftar Nama Penerima Dana Pip Kip Dan Bsm Tahun 2018 Tahap 2 3 Virell P Cara Login Website Pip Dan Melihat Daftar Siswa Penerima Pip Sd Smp Sma Smk Tahun 2021 Dapodik Co Id Cek Penerima Dana Program Indonesia Pintar Pip Untuk Sd Mi Smp Mts Sma Dan Smk Login Disini Cerdik Indonesia Halaman 2 Cek Nama Peserta Penerima Kip Program Indonesia Pintar Pip 2021 Begini Caranya Jurnal Sumsel Contoh Surat Keterangan Bsm Pip 2016 Cara Cek Daftar Nama Siswa Penerima Pip Sd Smp Dan Sma Melalui Pip Kemdikbud Go Id Android31 316901014 011 Undangan Orang Tua Pip Bsm
Sipintar Enterprise Bsm Pip Cek Siswa Penerima Pip Tahap Terbaru 2020 Youtube Pengumuman Untuk Peserta Didik Yang Menerima Dana Program Indonesia Pintar Pip Smk Stella Maris Labuan Bajo Download Sk Penetapan Siswa Penerima Bsm Pip Kip Tahap 1 Tahun 2015 Untuk Tingkat Smp Komunitas Guru Pkn Daftar Siswa Calon Penerima Beasiswa Bsm Kjp 2017 Tahap 1 Sma Negeri 59 Jakarta Cara Cek Penerima Dana Pip 2021 Mencairkannya Mudah Woke Id Surat Kuasa Pengambilan Pip Kolektif 2021 Doc Info Gtk Terbaru Smp Negeri 2 Pekutatan Bagi Siswa Yang Namanya Tercantum Pada Daftar Nama Siswa Penerima Bsm Pip Agar Datang Ke Sekolah Untuk Melengkapi Persyaratan Dan Melakukan Pencairan Facebook Cara Cek Penerima Pip Atau Kip Sd Sma Cek Syarat Daftar Pip 2021 Targetkan 17 9 Juta Siswa Kalbar Satu Id Nasional Contoh Rekap Laporan Pip Bsm Pdf Cara Cek Dan Melihat Daftar Nama Penerima Pip Smp Tahun 2021 Kherysuryawan Id Cek Daftar Nama Siswa Penerima Pip 2021 Jenjang Sd Smp Sma Smk Tahap 7 Sudah Cair Hingga 1 Juta Rupiah Guru Baik Penerima Bsm Pip Tahap 9 Kapan Dana Pip Cair Tahun 2021 Bagi Sd Smp Sma Dan Smk Kalbar Satu Id Cara Cek Daftar Nama Siswa Penerima Blt Anak Sekolah 2021 Bantuan Hingga Rp4 4 Juta Bagi Siswa Sd Smp Sma Seputar Lampung Cara Melihat Dan Cek Daftar Nama Penerima Bantuan Pip Sd Tahun 2021 Kherysuryawan Id Cara Terbaru Untuk Cek Nama Nama Siswa Penerima Bantuan Pip Secara Online Kherysuryawan Id Daftar Siswa Calon Penerima Beasiswa Bsm Kjp 2017 Tahap 1 Sma Negeri 59 Jakarta Inilah Daftar Nama Siswa Sd Sma Penerima Pip Kemendikbud 2021 Cek Di Link Ini Dan Cairkan Di 2 Bank Bumn Ini Seputar Lampung Daftar Pip 2021 Login Ke Pip Kemdikbud Go Id Dan Dapatkan Bantuan Hingga 1 Juta Bagi Siswa Sd Smp Dan Sma Pikiran Rakyat Depok Penerima Bsm Pip Tahap 9 Sk Bsm Login Pip Kemdikbud Go Id Cek Penerima Dana Pip 2021 Untuk Sd Smp Sma Tribunnews Com Mobile Bantuan Siswa Miskin Bsm Ppt Download Inilah Daftar Penerima Beasiswa Pip Smp Kristen Gkst Ensa Untuk Sk Tahun 2018 Smp Kristen Gkst Ensa Dapodikonline Com Panduan Aplikasi Pendidikan Untuk Guru Operator Sekolah Dan Tenaga Kependidikan Dapodikonline Com Panduan Aplikasi Pendidikan Untuk Guru Operator Sekolah Dan Tenaga Kependidikan Surat Keterangan Pencairan Pip Bantuan Siswa Miskin Bsm Ppt Download Cek Daftar Nama Siswa Penerima Pip 2021 Jenjang Sd Smp Sma Smk Tahap 7 Sudah Cair Hingga 1 Juta Rupiah Guru Baik Smp Negeri 2 Pekutatan Bagi Siswa Yang Namanya Tercantum Pada Daftar Nama Siswa Penerima Bsm Pip Agar Datang Ke Sekolah Untuk Melengkapi Persyaratan Dan Melakukan Pencairan Facebook Cara Terbaru Untuk Cek Nama Nama Siswa Penerima Bantuan Pip Secara Online Kherysuryawan Id Daftar Nama Sekolah Penerima Dana Bos Reguler Tahun Pelajaran 2021 2022 Pendidikan Kewarganegaraan Pendidikan Kewarganegaraan Format Usulan Siswa Calon Penerima Bantuan Siswa Miskin Pdf Cara Mengetahui Data Penerima Dan Nama Bank Penyalur Pip Tahun 2018 Tahun 2019 Dan Tahun 2020 Di Https Pip Kemdikbud Go Id Salam Edukasi Format Usulan Siswa Calon Penerima Bantuan Siswa Miskin Pdf Cara Login Dan Cek Nama Siswa Penerima Dana Pip Rp 750 Ribu Untuk Jenjang Smp Mts Cara Cek Dan Melihat Daftar Nama Penerima Pip Smp Tahun 2021 Kherysuryawan Id Surat Keterangan Pencairan Pip Cara Cek Nama Siswa Penerima Dana Bantuan Pip Kemdikbud Arnaim Com Cek Penerima Dan Cara Mencairkan Dana Program Indonesia Pintar Pip 2021 Via Pip Kemdikbud Go Id Tribunnews Com Mobile Cara Mudah Cek Daftar Nama Siswa Penerima Pip Sd Smp Dan Sma Melalui Pip Kemdikbud Go Id Daftar Nama Penerima Dana Pip Kip Dan Bsm Tahun 2018 Tahap 2 3 Virell P Bantuan Siswa Miskin Seksi Pendidikan Madrasah Laman 2 3 Surat Laporan Pencairan Kolektif Dana Bsm Pip Tahun 2015 2016 Salam Edukasi Daftar Siswa Calon Penerima Beasiswa Bsm Kjp 2017 Tahap 1 Sma Negeri 59 Jakarta Cara Daftar Pip Sd Smp Dan Sma Online 2021 Yusuf Studi Bantuan Siswa Miskin Bsm Kementerian Agama Contoh Surat Keterangan Siswa Aktif Untuk Pencairan Bsm Pip Dibuat Oleh Kepala Sekolah Dadang Jsn Sk Bsm
Info

Daftar Grabbike Online 2021

Daihatsu Dn Multisix