Kebijakan Fiskal Adalah

2021-11-08

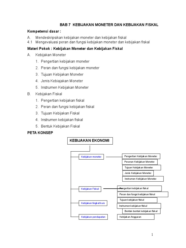
Kebijakan Fiskal Jenis Tujuan Instrumen Dan Peran Terlengkap Kebijakan Moneter Dan Kebijakan Fiskal Fitriana Devi Kebijakan Mengenal Kebijakan Fiskal Oleh Pemerintah Pengertian Tujuan Dan Jenisnya Ekonomi Kelas 11 Kebijakan Fiskal Dan Moneter Instrumen Peran Hingga Contohnya Kebijakan Fiskal Jenis Tujuan Instrumen Dan Peran Terlengkap Ekonomi123 Com Tentang Kebijakan Fiskal Kebijakan Bab 11 Kebijakan Fiskal Dan Moneter Ppt Download Apa Itu Kebijakan Fiskal Dan Moneter Cari Jawabannya Di Sini Kebijakan Fiskal Konsep Tujuan Dan Instrumennya Portal Ilmu Com Apa Itu Kebijakan Fiskal Berikut Adalah Pengertiannya Secara Lengkap Kebijakan Fiskal Pengertian Fungsi Jenis Instrumen Dan Dampak Synaoo Com Kebijakan Fiskal Jenis Peranan Instrumen Dan Fungsi Kelas Pintar Kebijakan Moneter Kebijakan Fiskal Shela Trisnawati A 210140143 Bab 7 Kebijakan Moneter Dan Kebijakan Fiskal Pdf Memahami Kebijakan Fiskal Ekspansif Apa Itu Ajaib Perbedaan Kebijakan Fiskal Dan Moneter Idschool Soal Desain Kebijakan Fiskal Yang Tepat Saat Pandemi Ini Kata Pakar Kebijakan Fiskal Pemerintah Dinilai Sudah Berorientasi Jangka Panjang Kebijakan Fiskal Adalah Pengertian Tujuan Fungsi Jenis Contoh Kebijakan Moneter Dan Kebijakan Fiskal Pastiguna Com Pengelolaan Kebijakan Fiskal Yang Inklusif Geotimes Tahun 2020 Dipenuhi Kebijakan Badan Kebijakan Fiskal Facebook Aplikasi Kebijakan Fiskal Dalam Bisnis Kebijakan Fiskal Ketahui Lebih Lanjut Tentang Pentingnya Kebijakan Ini Tahun 2020 Dipenuhi Kebijakan Badan Kebijakan Fiskal Facebook Kebijakan Moneter Dan Kebijakan Fiskal Youtube Kebijakan Fiskal Dan Kebijakan Moneter Ppt Download Kebijakan Fiskal Dari Aspek Politik Kumoro Staff Ugm Ac Id Apa Ya Definisi Kebijakan Fiskal Itu Simak Selengkapnya Di Sini Kebijakan Fiskal Pengertian Cara Kerja Dan Jenisnya Halaman All Kompas Com Apa Itu Kebijakan Fiskal Dan Moneter Cari Jawabannya Di Sini Kebijakan Fiskal Dan Moneter Idayoce Bab 7 Kebijakan Moneter Dan Kebijakan Fiskal Pdf Tujuan Fungsi Dan Instrumen Kebijakan Fiskal Yang Perlu Dipahami Klikpajak Tujuan Fungsi Dan Instrumen Kebijakan Fiskal Yang Perlu Dipahami Klikpajak Kebijakan Fiskal Adalah Pengertian Dan Fungsi Fiskal Ilmusaku Kebijakan Fiskal Pengertian Tujuan Fungsi Dan Peran Freedomsiana Apa Perbedaan Kebijakan Fiskal Dan Moneter Halaman All Kompas Com Menyorot Orientasi Kebijakan Fiskal Definisi Fungsi Dan Instrumennya Kebijakan Fiskal Pemerintah Dinilai Sudah Berorientasi Jangka Panjang Sinergi Kebijakan Fiskal Dan Moneter Dalam Penanganan Pandemi Kebijakan Fiskal Pengertian Tujuan Dan Contohnya Pengantar Ilmu Ekonomi Kebijakan Fiskal Kebijakan Fiskal Pengertian Cara Kerja Dan Jenisnya Halaman All Kompas Com Kebijakan Fiskal Dan Kepentingan Sdm Dan Negara Talenta Pengertian Kebijakan Fiskal Adalah Instrumen Badan Tujuan Hidupsimpel Com Pengertian Kebijakan Fiskal Dan Tujuannya Fr Consultant Indonesia Kebijakan Fiskal Dan Moneter 1 Ppt Download Apa Itu Kebijakan Fiskal Pengertian Tujuan Jenis Fungsi Dan Instrumen
Kebijakan Fiskal Moneter Dan Investasi Kebijakan Fiskal Pengertian Contoh Fungsi Jenis Bentuk Kebijakan Fiskal Dan Kebijakan Moneter Ppt Download Kebijakan Fiskal Pengertian Tujuan Dan Contohnya Kebijakan Moneter Dan Kebijakan Fiskal Ppt Download Apa Yang Dimaksud Dengan Kebijakan Fiskal Pintar Saham Kebijakan Fiskal Pengertian Cara Kerja Dan Jenisnya Halaman All Kompas Com Soal Desain Kebijakan Fiskal Yang Tepat Saat Pandemi Ini Kata Pakar Kebijakan Moneter Dan Kebijakan Fiskal Fitriana Devi Kebijakan Kebijakan Fiskal Sebagai Komponen Pertumbuhan Dan Stabilitas Ekonomi Kebijakan Fiskal Pengertian Tujuan Dan Contohnya Kebijakan Fiskal Lengkap Pengertian Tujuan Jenis Komponen Mengenal Kebijakan Fiskal Salah Satu Strategi Pemerintah Mengatasi Masalah Internal Negara Cermati Com Mengenal Kebijakan Fiskal Oleh Pemerintah Pengertian Tujuan Dan Jenisnya Ekonomi Kelas 11 Kebijakan Moneter Dan Kebijakan Fiskal Fitriana Devi Kebijakan Teori Kebijakan Fiskal Di Indonesia Pengertian Kebijakan Fiskal Adalah Instrumen Tujuan Fungsi Macam Contohnya Pengertian Kebijakan Fiskal Jenis Fungsi Dan Contohnya Ilmu Ekonomi Apa Itu Kebijakan Fiskal Berikut Adalah Pengertiannya Secara Lengkap Kebijakan Fiskal Dan Moneter Ketahui Perbedaan Dan Dampak Keduanya Pada Perekonomian Pengadaan Barang Dan Jasa Pengertian Kebijakan Fiskal Jenis Instrumen Dampak Contoh Kebijakan Fiskal Sebuah Cara Untuk Mengatasi Permasalahan Dalam Suatu Negara Akseleran Blog Apa Itu Kebijakan Fiskal Berikut Adalah Pengertiannya Secara Lengkap Kebijakan Fiskal Pengertian Fungsi Jenis Tujuan Instrumen Dan Contohnya Pengelolaan Kebijakan Fiskal Yang Inklusif Geotimes Kebijakan Fiskal Adalah Pengertian Dan Fungsi Fiskal Ilmusaku 4 Instrumen Kebijakan Fiskal Dan Penjelasannya Freedomsiana Raih Doktor Usai Kaji Interaksi Kebijakan Fiskal Dan Moneter Indonesia Universitas Gadjah Mada Mengenal Kebijakan Fiskal Salah Satu Strategi Pemerintah Mengatasi Masalah Internal Negara Cermati Com Tujuan Bab 11 Kebijakan Fiskal Dan Moneter Ppt Download Kebijakan Fiskal Pengertian Tujuan Dan Komponennya Kledo Blog Tujuan Fungsi Dan Instrumen Kebijakan Fiskal Yang Perlu Dipahami Klikpajak Sinergi Kebijakan Fiskal Dan Moneter Dalam Penanganan Pandemi Apa Itu Fiskal Dan Kebijakan Fiskal Tujuan Jenis Dan Komponennya Abc Semanggi Aplikasi Pembukuan Paling Top Di Indonesia Kebijakan Pemerintah Fiskal Dan Moneter Dosenpintar Com Kebijakan Fiskal Sebagai Komponen Pertumbuhan Dan Stabilitas Ekonomi Kebijakan Fiskal Ekonomi Kelas 11 Pengertian Tujuan Quipper Blog Apa Itu Kebijakan Fiskal Dan Moneter Cari Jawabannya Di Sini Kebijakan Fiskal Pemerintah Dinilai Sudah Berorientasi Jangka Panjang Dinamika Kebijakan Fiskal Merespons Ketidakpastian Global Indonesian Edition Amir Hidayat 9786020327181 Amazon Com Books Kebijakan Moneter Dan Fiskal Dalam Islam Paper Kebijakan Fiskal Pengertian Kebijakan Fiskal Adalah Instrumen Badan Tujuan Hidupsimpel Com Apa Itu Kebijakan Fiskal Berikut Adalah Pengertiannya Secara Lengkap Kebijakan Moneter Kebijakan Fiskal Shela Trisnawati A 210140143 Kebijakan Fiskal Dan Moneter 1 Ppt Download Mata Kuliah Kebijakan Fiskal Ppt Download Teori Kebijakan Fiskal Di Indonesia Tujuan Fungsi Dan Instrumen Kebijakan Fiskal Yang Perlu Dipahami Klikpajak
news

Kebaya Wisuda 2021

Kebun Raya Bogor