Jumlah Anggota Bpupki

2021-11-08

Tolonh Di Jawab Ya Dari Nomor 1 6 Brainly Co Id 6 Tabel 1 2 Perbedaan Antara Bpupki Dan Ppki Bpupki Ppki No Pernyataan Ler Ta 1 Waktu Pembentukan 2 Jumlah Anggota 3 Susunan Terdapat Nama Nama Tokoh Penting Begini Susunan Organisasi Bpupki Semua Halaman Intisari Jumlah Seluruh Anggota Bpupki Adalah Brainly Co Id G Jelaskan Perbedaan Antara Bpupki Dan Ppki Waktupembentukan Jumlah Anggota Susunan Organisasi Brainly Co Id Soal Pdf Plisss Tolong Yah 1 6 Brainly Co Id Perbedaan Antara Bpupki Dan Ppki Jumlah Anggota Bpupki Suhupendidikan Com Tolonh Di Jawab Ya Dari Nomor 1 6 Brainly Co Id Jumlah Anggota Ppki Donisaurus Berapa Jumlah Anggota Bpupki Archives Ppkn Co Id Proses Penyusunan Pengesahan Dinamika Awal Uud Ppt Download Daftar Lengkap Anggota Bpupki Dan Tugasnya Kumparan Com Kak Plissmau Di Kumpul Brainly Co Id Jumlah Anggota Bpupki Dan Ppki Sedang Terdapat Nama Nama Tokoh Penting Begini Susunan Organisasi Bpupki Semua Halaman Intisari Kakak Kakak Tolong Bantu Di Jawab Ya Brainly Co Id Mengenal Panitia Kecil 9 Anggota Bpupki Yang Merumuskan Pidato Soekarno Okezone Nasional Tujuan Bpupki Sejarah Anggota Tugas Sidang 1 2 Piagam Bpupki Dibentuk Tanggal 29 April 1945 Ini Ketua Dan Anggotanya Bppupki Ppki History Belanda Menyera Wps Office Pdf Soal Pkn 6 Pdf Jawaban Siapa Sajakah Anggota Bpupki Ilmusiana Bpupki Sejarah Tugas Tujuan Sidang Anggota Anggota Bpupki Salamadian Plisss Tolong Yah 1 6 Brainly Co Id Soal Ppkn 1 Waktu Pembentukan Bpupki Dan Ppki2 Jumlah Anggota Bpupki Dan Ppki 3 Susunan Organisasi Bpupki Dan Ppki4 Tugas Bpupki Ada Berapa Jumlah Anggota Bpupki Pembentukan Dan Persidangan Bpupki Pdf Perbedaan Antara Bpupki Dan Ppki 1 Waktu Pembentukan 2 Jumlah Anggota 3 Susunan Organisasi 4 Tugas 5 Waktu Persidangan Dengan Demikian Jumlah Keseluruhan Anggota Bpupki Adalah 76 Orang Termasuk Course Hero Ppki Sejarah Tugas Jumlah Anggota Dan Hasil Sidang Tribunnews Com Mobile Mengenal Panitia Kecil 9 Anggota Bpupki Yang Merumuskan Pidato Soekarno Okezone Nasional Tugas Bpupki Jumlah Anggota Dan Hasil Sidang Yang Di Lakukan Terdapat Nama Nama Tokoh Penting Begini Susunan Organisasi Bpupki Semua Halaman Intisari Jumlah Anggota Ppki Yang Sebenarnya Pengertian Tugas Susunan 9 Anggota Bpupki Sejarah Pengertian Anggota Tugas Sidang Tujuan Bagaimana Kepengurusan Bpupki Pdf Tabel 1 2 Perbedaan Antara Bpupki Dan Ppki Tugas Pkn Kelas 7 Kkaktri Channel Info Pendidikan Siapa Sajakah Anggota Bpupki Penulis Cilik Jelaskan Perbedaan Antara Bpupki Dan Ppki Dilihat Dari Waktu Penentukan Jumlah Anggota Susunan Brainly Co Id 1 Waktu Pembentukan Bpupki Dan Ppki Ilmu Edukasi Jumlah Anggota Bpupki Dan Ppki Serta Nama Nama Anggotanya Bpupki Tugas Jumlah Anggota Hasil Sidang Dan Waktu Pembentukan Semua Halaman Kids Sejarah Pembentukan Bpupki Keanggotaan Tugas Anggotanya Sejarah Hari Lahir Pancasila Peran Bpupki Dan Ppki Ada Berapa Jumlah Anggota Bpupki Soal Quis Kelas 92 Worksheet Lkpd Pkn 7 Worksheet
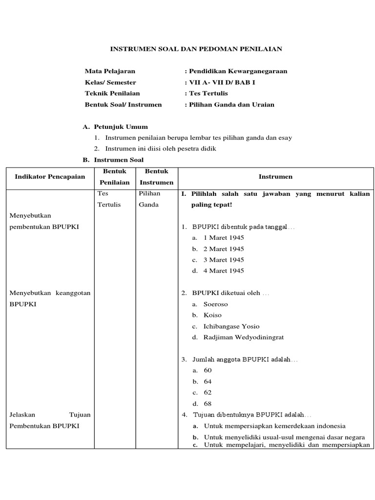
Daftar Anggota Bpupki Pengertian Tugas Dan Tujuan Dosenpintar Com 67 Anggota Bpupki Pdf Dengan Demikian Jumlah Keseluruhan Anggota Bpupki Adalah 76 Orang Termasuk Course Hero Perbedaan Jumlah Anggota Bpupki Dan Ppki Proses Penyusunan Pengesahan Dinamika Awal Uud Ppt Download Anggota Bpupki Pengertian Sejarah Anggota Dan Tugasnya Daftar Anggota Ppki Halaman All Kompas Com Jumlah Anggota Bpupki Archives Portaldemisterios Com Anggota Bpupki Adalah Brainly Co Id Jumlah Anggota Bpupki Dan Ppki Sedang Daftar Lengkap Anggota Bpupki Dan Tugasnya Kumparan Com Jumlah Anggota Ppki Yang Sebenarnya Pengertian Tugas Susunan Tugas Bpupki Nama Anggota Bpupki Dan Ppki Lengkap Beserta Asal Daerahnya Pdf 69 Nama Anggota Bpupki Jumlah Anggota Bpupki Suhupendidikan Com Peta Tempat Duduk Sidang Bpupki Lengkap Maolioka Instrumen Soal Dan Pedoman Penilaian Pdf Jawaban Siapa Sajakah Anggota Bpupki Ilmusiana Soal Pdf Bppupki Ppki History Ada Berapa Jumlah Anggota Bpupki Bpupki Dibentuk Tanggal 29 April 1945 Ini Ketua Dan Anggotanya Daftar Anggota Bpupki Jawaban Berapa Jumlah Anggota Bpupki Ilmusiana Tugas Bpupki Jumlah Anggota Dan Hasil Sidang Yang Di Lakukan Sejarah Bpupki Dan Ppki Lengkap Serta Jumlah Anggota Tujuan Ada Berapa Jumlah Anggota Bpupki Soal Quis Kelas 92 Worksheet 6 Tabel 1 2 Perbedaan Antara Bpupki Dan Ppki Bpupki Ppki No Pernyataan Ler Ta 1 Waktu Pembentukan 2 Jumlah Anggota 3 Susunan Terdapat Nama Nama Tokoh Penting Begini Susunan Organisasi Bpupki Semua Halaman Intisari Kakak Kakak Tolong Bantu Di Jawab Ya Brainly Co Id Tolong Saya Butuh Bantuan Brainly Co Id Bpupki Sejarah Pengertian Tujuan Anggota Tugas Dan Sidang Bpupki Weschool Id Lkpd Pkn 7 Worksheet Jelaskan A Waktu Pembentukan Bpupki B Suasana Pembentukan Bpupki C Jumlah Anggota Bpupki D Susunan Organisasi Bpupki E Tugas Jelaskan Perbedaan Antara Bpupki Dan Ppki Dilihat Dari Waktu Penentukan Jumlah Anggota Susunan Brainly Co Id Belanda Menyera Wps Office Pdf Bpupki Sejarah Pengertian Tujuan Anggota Tugas Dan Sidang Bpupki Weschool Id Perbedaan Antara Bpupki Dan Ppki 1 Waktu Pembentukan 2 Jumlah Anggota 3 Susunan Organisasi 4 Tugas 5 Waktu Persidangan Jumlah Anggota Bpupki Dan Suasana Pembentukan Bpupki Serta Sejarah Terbentuknya Bpupki Tahun 1945 Jawara Kelas Sejarah Bpupki Pengertian Anggota Tugas Sidang Tujuan Bpupki Sejarah Tugas Tujuan Sidang Anggota Anggota Bpupki Salamadian Berapa Anggota Bpupki Yang Merupakan Orang Jepang Brainly Co Id Anggota Bpupki Pengertian Sejarah Anggota Dan Tugasnya Plisss Tolong Yah 1 6 Brainly Co Id Pada Tanggal 1 Maret 1945 Panglima Tentara Ke Pdf Perbedaan Antara Bpupki Dan Ppki Jumlah Anggota Bpupki Dan Ppki Sedang Jelaskan Anggota Bpupki Dengan Ketuanya
news

Judul Ftv Sctv Hari Ini

Jumlah Dan Sebaran Tenaga Kerja Indonesia