Passing Grade Sma 2021

2021-09-14

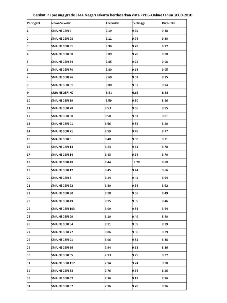
Passing Grade Pppk Guru Smk 2021 Semua Mapel Info Gtk Terbaru Passing Grade Itb 2021 Terbaru Terakurat Institut Teknologi Bandung Passing Grade Itb 2021 Terbaru Terakurat Institut Teknologi Bandung Ppdb Kota Bandung Auf Twitter 10 Besar Passing Grade Terbaik Sma Selamat Wargatiga Infoppdb Http T Co Ioph1r81mw Passing Grade Pppk Guru 2021 Per Mapel Sd Smp Sma Smk Slb Lengkap Ini Passing Grade Pppk Guru Sma Di Kompetensi Teknis 5 Mapel Sama Nilai Ambang Batasnya Portal Sulut Daftar Lengkap Passing Grade Pppk Guru Dan Non Guru 2021 Halaman All Kompas Com Pdf Nineth Grade Students Mistakes When Solving Congruence And Similarity Problem Passing Grade Pppk Guru Tahun 2021 Berdasarkan Kepmenpanrb No 1127 Guru Maju Cpa Scaled Score What Is The Pass Mark Knowledgequity Agenda Penerimaan Peserta Didik Baru Ppdb Tahun Pelajaran 2021 2022 Sman 2 Tasikmalaya Passing Grade Pppk 2021 Guru Sd Smp Sma Slb Non Guru Fokus Banyumas Ini Materi Dan Passing Grade Seleksi Kompetensi Pppk Guru Tk Sma Tahun 2021 Info Lengkap Ketetapan Passing Grade Cpns Terbaru 2021 Idcpns Pengumuman Passing Grade Terakhir Tahun Ajaran 2013 2014 Ppdb Sma Kota Bekasi Siap Belajar Daftar Lengkap Passing Grade Pppk Guru Dan Non Guru 2021 Halaman All Kompas Com Kemendikbud Ristek Passing Grade Pppk 2021 Sudah Sesuai Standar Berikut Ini Passing Grade Sma Negeri Jakarta Berdasarkan Data Ppdb Pdf Download Daftar Nilai Ambang Batas Seleksi P3k Untuk Guru Ini 27 Passing Grade Ppdb Sma Kota Bandung Citra Indonesia Penjelasan Nilai Ambang Batas Terbaru Seleksi Pppk Guru Tahun 2021 Kepmenpanrb No 1169 Tahun 2021 Education In Indonesia Cpa Scaled Score What Is The Pass Mark Knowledgequity Prediksi Passing Grade Smpn Kota Bandung 2021 Berdasarkan Data Diterima Ppdb 2020 Ats Duddy Youtube Passing Grade Seleksi Pppk 2021 Bimbingan Konseling Page 73 Nafa Diploma Degree Course Guide 2020 2021 Berikut Passing Grade Pppk Guru Dan Non Guru 2021 Okezone Edukasi Passing Grade Sma Negeri Kota Semarang Skanaa Passing Grade Hasil Ppdb Sma Dki Jakarta Tahun 2019 Cek Nilai Ambang Batas Passing Grade Kompetensi Teknis Pppk Guru Tk Sd Smp Sma Smk 2021 Tribunsumsel Com Juklak Juknis Ksn Sma Tahun 2021 Pendidikan Kewarganegaraan Pendidikan Kewarganegaraan Bkd Provinsi Jawa Tengah Seleksi Casn Cpns Pppk Provinsi Kabupaten Kota Kementerian Lembaga Formasi Tahun 2021 Perhitungan Passing Grade Pppk 2021 Prediksi Passing Grade Sman Kota Bandung 2021 Berdasarkan Data Ppdb 2020 Pengabdian Masyarakat Duddy Youtube Kementerian Pendayagunaan Aparatur Negara Dan Reformasi Birokrasi Segera Digelar Simak Passing Grade Seleksi Kompetensi Pppk Guru 2021 Passing Grade Cpns 2021 Agar Lulus Tahap Skd Ini Daftarnya Prediksi Passing Grade 2020 Sman Kota Bandung Menggunakan Sebaran Data Penerimaan Siswa Ppdb 2019 Duddyarisandi S Blog Passing Grade Sma Negeri Kota Semarang Citra Indonesia Passing Grade Pppk Guru 2021 Pdf Tk Sd Smp Sma Smk Info Gtk Terbaru Smpn 109 Jakarta Smpn109jakarta Blogspot Com Smpn109 Jakarta Info Passing Grade Seleksi Kompetensi Pppk Guru Tahun 2021 Lengkap Dengan Pembagian Materinya Tribunnews Com Mobile Aggregate Grading For Sma And Smab Download Table Passing Grade Sma Negeri Kota Bandung 2012 2013 Siap Belajar Seleksi Casn Cpns Pppk Provinsi Kabupaten Kota Kementerian Lembaga Formasi Tahun 2021 Perhitungan Passing Grade Pppk 2021 Passing Grade Seleksi Pppk 2021 Bimbingan Konseling Passing Grade Sistem Skor Dalam Seleksi Pppk 2021 Bli Komang Berikut Ini Passing Grade Sma Negeri Jakarta Berdasarkan Data Ppdb Pdf Prediksi Passing Grade 2020 Sman Kota Bandung Menggunakan Sebaran Data Penerimaan Siswa Ppdb 2019 Duddyarisandi S Blog Passing Grade Cat Cpns 2019 Cpns 2021 Daya Tampung Snmptn Sbmptn Umptkin Prediksi Passing Grade Smpn Kota Bandung 2021 Berdasarkan Data Diterima Ppdb 2020 Ats Duddy Youtube
Education In Indonesia Berikut Passing Grade Pppk Guru Dan Non Guru 2021 Okezone Edukasi Uji Kompetensi Dimulai Cek Passing Grade Pppk 2021 Guru Sd Smp Sma Slb Non Guru Lengkap Ini Passing Grade Pppk Guru Sma Di Kompetensi Teknis 5 Mapel Sama Nilai Ambang Batasnya Portal Sulut Education In Indonesia Rincian Passing Grade Tes Skd Cpns 2021 Formasi Umum Tkp 166 Tiu 80 Dan Twk 65 Jumlah Soal 110 Tribunnews Com Mobile Link Download Simulasi Cat Cpns 2021 Passing Grade Tes Skd Cpns Acuan Kelulusan Cpns Kalbar Satu Id Terkini Passing Grade Cpns 2021 Agar Lulus Tahap Skd Ini Daftarnya Ini Passing Grade Seleksi Pppk Guru Sma Baca Juga Durasi Dan Jumlah Butir Soal Portal Sulut Daftar Lengkap Passing Grade P3k 2021 Guru Sd Smp Sma Slb Non Guru Seleksi Casn Cpns Pppk Provinsi Kabupaten Kota Kementerian Lembaga Formasi Tahun 2021 Perhitungan Passing Grade Pppk 2021 Passing Grade Sma Negeri Kota Semarang Skanaa Passing Grade Pppk Guru 2021 Ini Daftar Lengkapnya Passing Grade Pppk Guru 2021 Per Mapel Sd Smp Sma Smk Slb Smpn 109 Jakarta Smpn109jakarta Blogspot Com Smpn109 Jakarta Aggregate Grading For Sma And Smab Download Table Passing Grade Hasil Ppdb Sma Dki Jakarta Tahun 2020 2021 1 500 Peserta Try Out Online Akbar Sma Smk Penuhi Passing Grade Sman 2 Banda Aceh Juara L Pengumuman Resmi Nilai Ambang Batas Passing Grade Seleksi Kompetensi Dasar Skd Cpns 2021 Rekrutmen Lowongan Kerja Cpns Bumn Bulan November 2021 Kemendikbud Ristek Passing Grade Pppk 2021 Sudah Sesuai Standar Passing Grade Cpns 2021 Soal Skd Skb Cpns Terbaru Passing Grade Badan Kepegawaian Dan Pengembangan Sumber Daya Manusia Kota Cirebon Sma Negeri 1 Tasikmalaya Passing Grade Sma Negeri 5 Cimahi Sman5cimahi Sch Id Ppdb Kota Bandung Auf Twitter 10 Besar Passing Grade Terbaik Sma Selamat Wargatiga Infoppdb Http T Co Ioph1r81mw Passing Grade Sma Jakarta Terbaru Belajar Info Lengkap Ketetapan Passing Grade Cpns Terbaru 2021 Idcpns Hasil Seleksi Passing Grade Ppdb Smk Jakarta 2014 Passing Grade Sma Dki Jakarta 2019 Beinyu Com Passing Grade Cpns 2021 Soal Skd Skb Cpns Terbaru Passing Grade Pppk Guru Smk 2021 Semua Mapel Info Gtk Terbaru Cpa Scaled Score What Is The Pass Mark Knowledgequity Passing Grade Pppk Guru 2021 Pdf Tk Sd Smp Sma Smk Info Gtk Terbaru Sma Negeri 5 Kota Bogor Uji Kompetensi Dimulai Cek Passing Grade Pppk 2021 Guru Sd Smp Sma Slb Non Guru Seleksi Kompetensi Dasar Skd Cpns 2021 Materi Yang Diujikan Berikut Passing Grade Pppk Guru Dan Non Guru 2021 Okezone Edukasi Ini Passing Grade 22 Sma Di Surabaya Skanaa Nilai Passing Grade Smp Mts Negeri Dan Swasta Di Bali Skanaa Passing Grade Itb 2021 Terbaru Terakurat Institut Teknologi Bandung Daftar Lengkap Passing Grade Pppk Guru Dan Non Guru 2021 Halaman All Kompas Com Passing Grade Sma Negeri 5 Cimahi Sman5cimahi Sch Id Ketahui Nilai Ambang Batas Passing Grade Pppk 2021 Sebelum Ikut Seleksi Bisnis Liputan6 Com Pengumuman Passing Grade Terakhir Tahun Ajaran 2013 2014 Ppdb Sma Kota Bekasi Siap Belajar Alur Proses Seleksi Guru Pppk 2021 Dan Tanya Jawab P3k Situs Guru Prediksi Passing Grade 2020 Sman Kota Bandung Menggunakan Sebaran Data Penerimaan Siswa Ppdb 2019 Duddyarisandi S Blog Passing Grade Pppk Guru Tahun 2021 Berdasarkan Kepmenpanrb No 1127 Guru Maju Lengkap Ini Passing Grade Pppk Guru Sma Di Kompetensi Teknis 5 Mapel Sama Nilai Ambang Batasnya Portal Sulut Passing Grade Sma Jakarta Selatan Belajar Passing Grade Cpns 2021 Agar Lulus Tahap Skd Ini Daftarnya
Uncategorized

Pasal 33 Ayat 1

Pejabat Tni Ad